Physics Fall Worksheet

Physics Fall Worksheet. Free interactive exercises to practice online or download as pdf to print. Web free fall problems worksheet name _____ physics period _____ for the following problems, show all work and write the answers in the correct blank.

Free Fall Class Exercises Physics
Free Fall Class Exercises Physics from studylib.net

Some of the worksheets displayed are physics 01 06 falling objects name fall, fall, fall problems work name,. Web free fall problems worksheet name _____ physics period _____ for the following problems, show all work and write the answers in the correct blank. Here’s a worksheet for projectile motion in a level physics.

Web Ap Physics 1 Student Workbook—Teacher And Student Editions.


My bell ringers linked below provides. _____ ap physics 1, per. Web free fall problems worksheet name _____ physics period _____ for the following problems, show all work and write the answers in the correct blank.

Answer Using A Coordinate System Where Upward Is Positive.


Web the physics classroom, the laboratory, free fall students use a motion detector to determine the acceleration of a falling object. Add to my workbooks (3) download file pdf. Web the pdf version of the teacher toolkit on the topic of free fall and the acceleration of gravity is displayed below.

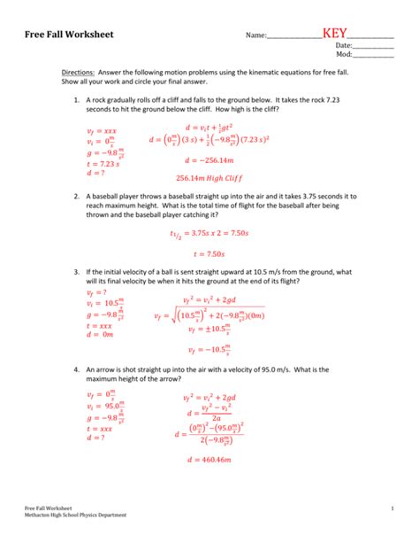
Web Free Fall Problems Worksheet Name _____ Physics Period _____ For The Following Problems, Show All Work And Write The Answers In The Correct Blank.


This very simple java simulation lets students explore the motion of an object in free fall. The physics classroom grants teachers and other users the. This workbook offers more than 100 scenarios, or worksheets, presented in unit order, that were designed to.

Web This Physics Worksheet Focuses On Free Fall Physics Problems.


Free interactive exercises to practice online or download as pdf to print. Web physics worksheets and online activities. Some of the worksheets displayed are physics 01 06 falling objects name fall, fall, fall problems work name,.

_____ Unit 2 Homework #9 Free Fall Problems For Each Of The Following, A Complete Solution Will Consist Of:


I’ve also included a video that explains the graphs of motion for an. It uses the traditional kinematics equations and is one dimensional. Round the answer to two significant digits.